周口市通用鼓風機有限公司

新聞詳情

9-19、9-26型高壓離心通風機詳述

257
發表時間:2020-06-29 00:00作者:周口風機

一、通風機的用途

9-19、9-26型離心通風機,一般用于鍛冶爐及高壓強制通風,并可廣泛用于輸送物料、輸送空氣及無腐蝕性不自燃、不含粘性物質的氣體。介質溫度一般不超過50℃(最高不超過80℃),介質中所含塵土及硬質顆粒不大于150mg/m3

二、通風機的型式

本通風機為單吸入式,有№4、4.5、5、5.6、6.3、7.l、8、9、10、11.2、12.5、14、16共13個機號。

通風機可制成右旋和左旋兩種型式。從電機一端正視,如葉輪順時針旋轉稱右旋風機,以“右”表示:逆時針旋轉稱左旋風機,以“左”表示。

風機的出口位置以機殼的出口角度表示。“左”、“右”均可制成00、450、900、1350、1800、2250共六種角度。

風機的傳動方式為A式(№4~6.3)和D式(№7.1~16)兩種。

三、通風機的結構

№4~6.3主要由葉輪、機殼、進風口、支架等組成;№7.1~16主要由葉輪、機殼、進風口、傳動組等組成。

葉輪:9-19型風機葉片為12片,9-26型風機葉片為16片。均屬前向彎曲葉型。葉輪擴壓器外緣最高圓周速度不超過140m/s。葉輪成型后經靜、動平衡校正,故運轉平穩。

機殼:用普通鋼板焊接成蝸形殼整體。

進風口:做成收斂式流線型的整體結構,用螺栓固定在前蓋板組上。

傳動組:由主軸、軸承箱、聯軸器等組成。主軸由優質鋼制成,軸承箱整體結構,采用滾動軸承,用軸承潤滑脂潤滑。

四、通風機的性能與選擇

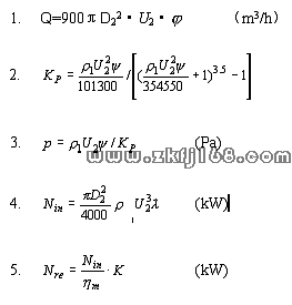
9-19與9-26型風機只給№10樣機的無因次性能表及曲線。由給出的無因次性能表或曲線計算№10以上風機的有因次性能。

由無因次參數計算有因次參數的公式:

  

式中:

Q一流量(m3/h)  

p一全壓(Pa)   

D2一葉輪葉片外緣直徑(m)

U2一葉輪葉片外緣線速度(m/s)

ρ1一進氣密度(kg/m3) 

KP一全壓壓縮性系數

Nin—內功率 (kW) 

Nre一所需功率(kW)

ηm機械效率(A式傳動取1,D式傳動取0.98)

K一電機的儲備系數

當使用狀態為非標準狀態時,必須把非標準狀態的性能換算到標準狀態的性能,然后根據換算性能選擇風機。其換算公式如下:

式中:

   ηin0一內效率   n一轉速(r/min)

風機性能一般均指在標準狀態下輸送氣體的性能。標準狀態指大氣壓pa=101300Pa,大氣溫度t=20℃,相對濕度50%,空氣密度ρ=1.2kg/m3

五、通風機的安裝和使用

安裝前:應對風機各部件進行全面檢查,機件是否完整,葉輪與機殼的旋轉方向是否一致,各部聯接是否緊密。葉輪、主軸、軸承等主要機件有無損傷,傳動組是否靈活等。

安裝時:注意檢查機殼,殼內不應有掉入、遺留的工具和雜物。在一些結合面上為了防止生銹、減少拆卸困難,應涂上一些潤滑脂或機械油。風機與地基結合面,進出風管道聯接時應調整使之自然吻合,不得強行聯接,更不許將管道重量加在風機各部件上。并注意保證風機的水平位置。

安裝要求:

(1)按圖紙所示的位置與尺寸安裝,為確保高效率特別要保證進風口與葉輪的軸向和徑向間隙尺寸

(2)安裝后試撥傳動組,檢查是否有過緊或與固定部分碰撞現象。

(3)全部安裝完畢,總檢合格后,才能進行風機的試運轉。

為了防止電機過載燒毀,在風機啟動時,必須在無載荷(將進風閥門關閉,出風閥門稍開)的情況下進行,如情況良好,逐步開啟閥門直到規定的工況為止。在運轉過程中應嚴格控制電流,不得超過額定值。

風機的操作:

(1)風機啟動前,應進行下列準備工作:

a.將進風閥門關閉,出風閥門稍開。

b.檢查風機各部的間隙尺寸,轉動部分與固定部分有無碰撞及摩擦現象。

(2)風機啟動后,達到正常轉速時,應在運轉過程中經常檢查軸承溫度是否正常,當軸承溫度沒有特殊要求時,軸承溫升不得超過周圍環境溫度的40℃:軸承部位的均方根振動速度值不得大于6.3mm/s。如發現風機有劇烈的振動、撞擊,軸承溫升迅速上升等現象時,則必須緊急停車。

六、通風機的維護

1.風機維護工作注意事項:

①只有風機設備完全正常的情況下方可運轉。

②如風機設備在檢修后開動時.則需注意風機各部位是否正常。

③定期清除風機內部積灰、污垢等雜質,并防止生銹。

④為確保人身安全,風機的維護必須在停車時進行。

2.風機正常運轉的注意事項:

①在風機開車、停車、或運轉過程中,如發現不正?,F象時立即進行檢查,若是小故障應及時查明原因設法消除。發現大故障應立即停車檢修。

②除每次檢修后應更換潤滑劑外,正常情況下根據實際情況更換潤滑劑。

七、通風機主要故障及原因

1.風機劇烈振動

①風機軸與電機軸不同心、皮帶輪槽錯位;

②機殼或進風口與葉輪摩擦;

③基礎的剛度不夠或不牢固;

④葉輪鉚釘松動或葉輪變形;

⑤葉輪軸盤孔與軸配合松動;

⑥機殼、軸承座與支架,軸承痤與軸承蓋等聯接螺栓松動;

⑦風機進、出口管道安裝不良,產生共振;

⑧葉片有積灰、污垢、葉片磨損、葉輪變形、軸彎曲使轉子產生不平衡。

2.軸承溫升過高

①軸承箱劇烈振動;

②潤滑劑質量不良,變質或含有灰塵、砂粒、污垢等雜質或填充量不足;

③軸承箱蓋、座聯接螺栓的緊力過大或過?。?/span>

④軸與滾動軸承安裝歪斜、前后兩軸承不同心;

⑤滾動軸承損壞或軸彎曲。

3.電機電流過大和溫升過高

①開車時進、出氣管道閘門未關;

②電機輸入電壓低或電源單相斷電;

③受軸承箱劇烈振動的影響;
④主軸轉速超過額定值。

八、訂貨須知

1.訂貨時須注明風機的機號、轉速、風量、壓力、出風口角度、旋轉方向以及電機型號、規格。

2.9-26№8(2900r/min)和16(1450r/min)離心通風機葉輪是采用優質合金鋼板制造,訂貨時須與制造廠協商。


分享到:
Fans Design
專注于工業風機研發與生產

Doors & Frames Design

聯系QQ:505962081 手機號碼:13148232957(同微信) 聯系郵箱:505962081@qq.com 聯系地址:河南省周口市川匯區漢陽路37號

主站蜘蛛池模板: 乌兰浩特市| 精河县| 黎城县| 镇赉县| 健康| 于田县| 准格尔旗| 登封市| 惠安县| 湘潭市| 休宁县| 易门县| 平塘县| 胶州市| 梨树县| 陆川县| 和龙市| 泗阳县| 万山特区| 沂水县| 洛浦县| 且末县| 福贡县| 桑日县| 电白县| 泰兴市| 靖宇县| 湾仔区| 彭阳县| 丹寨县| 获嘉县| 鹿邑县| 循化| 栾川县| 天祝| 崇明县| 老河口市| 阿合奇县| 武邑县| 梅河口市| 来安县|