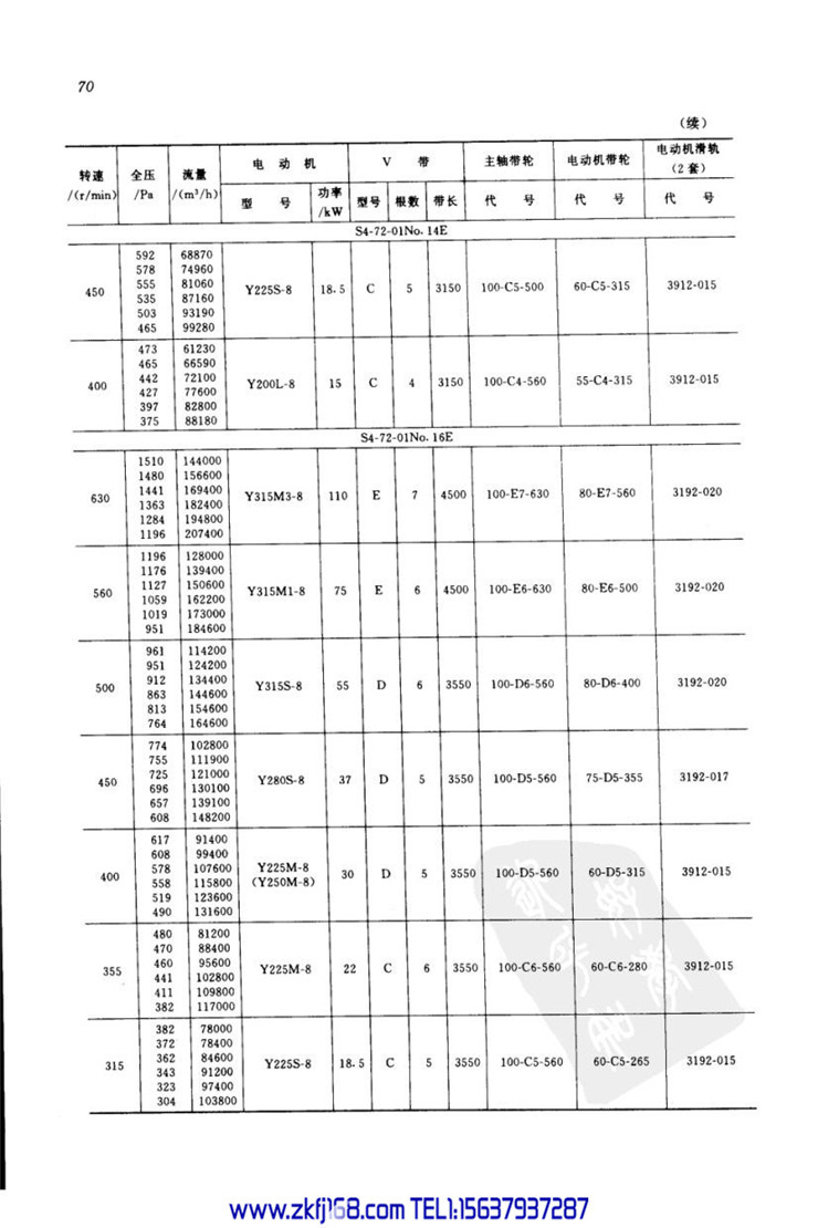
型式:左右兩旋向,出風口位置有固定的三種:0°、90°、180°,E式傳動。"/>

周口市通用鼓風機有限公司

新聞詳情

S4-72型離心通風機(周口風機)

178
發表時間:2020-06-29 00:00作者:周口風機

用途:一般工廠、紡織行業及大型建筑物的室內通風換氣,輸送空氣和其它不自然、對人體無害的、對鋼材無腐蝕的氣體,氣體內不許有粘性物質,所含塵土及硬質顆粒物不大于150mg/m3,氣體溫度80℃以下。

型式:左右兩旋向,出風口位置有固定的三種:0°、90°、180°,E式傳動。

結構:№10~20由葉輪、機殼、進風口、傳動組成。

(1)葉輪——20個機翼型葉片后傾分布,曲線型前盤,平板后盤鋼板焊接,動、靜平衡校正。

(2)機殼——沿中分水平面分為兩半,螺栓連接。

(3)進風口——整體結構裝于風機兩側,與軸向平行的截面為曲線形狀。

(4)傳動組——由主軸、軸承箱、滾動軸承、帶輪組成。


分享到:
Fans Design
專注于工業風機研發與生產

Doors & Frames Design

聯系QQ:505962081 手機號碼:13148232957(同微信) 聯系郵箱:505962081@qq.com 聯系地址:河南省周口市川匯區漢陽路37號

主站蜘蛛池模板: 保亭| 安宁市| 格尔木市| 旬邑县| 岳西县| 华亭县| 安泽县| 特克斯县| 交口县| 汝城县| 顺昌县| 和平县| 松江区| 青阳县| 泊头市| 那曲县| 齐河县| 当阳市| 偏关县| 麻江县| 榆林市| 寿阳县| 贵州省| 湟中县| 天水市| 阳春市| 项城市| 香河县| 房产| 娱乐| 蕉岭县| 额济纳旗| 措美县| 德兴市| 翁牛特旗| 吴川市| 霸州市| 吴忠市| 武功县| 靖江市| 平江县|